2025년부터 연암대학교 차세대농업기술대학원 스마트원예전문기술석사과정에 다니고 있다. 2025년 6월에 선진지 견학 프로그램으로 네덜란드를 다녀왔다. 오랜만에 외국에 다녀왔다. 1983년에서 1984년으로 넘어가는 겨울에 서강대학교 산악부의 일원으로 일본 북알프스 등반을 위해 일본으로 간 것이 첫 해외여행(여행이라기보다 훈련이지!)이었고, 이후 1989년부터 14년 동안 삼성SDI에 다니면서 회사 일로 미국, 일본, 말레이지아에 출장 다녀온 후로 외국에 갈 일이 없었다. 그 동안 항공여행에 관한 것들이 많이 변했다. 낯선 것들 중에 편리한 것과 당황스러운 것이 섞여 있다. 뭐 그렇다는 거고...
인천공항에서 11:55에 출발하여 14시간을 비행하면 암스테르담 스키폴 공항에 18:55에 도착한다고 한다. 올 때도 스키폴 공항에서 몇 시에 출발하여 몇 시간을 날면 인천 공항에 몇 시에 도착한다고 한다. 남들은 그대로 받아들이는데, 나는 왜 머리 속에 지구가 돌고 비행기가 날아가는 그림이 떠오를까? 머리 속으로 간단히 계산이 되지 않아 계산을 해 보았다.
1. 알고 싶은 것
- 인천 공항에서 출발할 때 스키폴 공항의 위치, 현지 시각
- 스키폴 공항에서 출발할 때 인천 공항의 위치, 현지 시각: 하다보니 이건 별 중요하지 않아 pass!
- 지구 밖에서 바라본 비행기의 속도(속력, 각도)
- 지표면을 기준한 비행기의 속도(속력, 각도)
2. 기준, 가정
(1) 기준
- phi로 표시된 각도는 태양의 반대쪽을 0도의 기준으로 잡았다.
- 아래첨자 'S'은 Sun을 나타내는 것으로, 여기서는 지구 밖에서 바라봄을 나타낸다.
- 아래첨자 'E'는 Earth를 나타내는 것으로, 여기서는 지표면에서 바라봄을 나타낸다.
(2) 가정
- 지구의 자전축과 지구의 공전축이 평행하다고 가정했다. 그러니까 23.5도 기울어진 팽이가 아니고 꼿꼿이 선 팽이로 다루었다.
- 지구는 완전한 구라고 가정했고 평균반지름을 적용했다. 실제로는 적도의 반지름이 극반지름보다 크다.
- 지표면은 요철이 없는 면으로 가정했다. 그러므로 인천 공항과 스키폴 공항의 고도차는 없다고 본다.
- 비행은 거리가 가장 짧은 경로로 지표면상에서 비행했다고 가정했다. 즉, 비행기의 고도를 올리고 내리는 것, 전쟁 중인 나라를 피해서 돌아가는 것 등은 고려하지 않았다.
- 비행기의 방향은 측풍 등의 영향이 없다고 가정했다. 측풍이 불면 비행기가 비행경로 방향보다 측풍이 불어오는 방향으로 향하는데, 이런 것이 없다는 뜻이다.
- 비행기는 지표면을 따라 등속 원운동을 한다고 가정했다.
- 계산한 현지시각은 지구 자전과 태양의 위치를 이용해서 적용했다. 그러므로 썸머타임이나 표준시가 적용되지 않는다. 표준시를 적용하면 서울과 동경이 경도가 다름에도 같은 시각이다. 계산에 사용하는 현지시각은 ITR에 제시된 시각을 사용했다.
- 지구의 하루 기준을 태양으로 했다. 즉 태양에서 바라보았을 때의 한 점이 지구 자전으로 돌아 태양에서 보았던 위치에 다시 올 때의 시간을 24시간으로 했다.
2. 필요한 data
- 지구의 평균 반지름: 6,370km
인천 공항의 위치
- 경도: 126도 26분 21초 = 126.4392도 = 2.2068rad
- 위도: 37도 27분 45초 = 37.4625도 = 0.6538rad
스키폴 공항의 위치
- 경도: 4도 45분 54초 = 4.765도 = 0.0832rad
- 위도: 52도 18분 00초 = 52.3도 = 0.9128rad
3. 두 공항 사이의 거리
(1) 호의 길이

원에서 부채꼴의 호의 길이는 원의 반지름과 중심각의 곱으로 구할 수 있다. 이때 중심각은 라디안(radian) 단위이다.


이 식을 이용하면 인천 공항과 스키폴 공항 사이의 거리를 구할 수 있다. 그러기 위해 두 공항 사이의 중심각을 알아야 한다.
(2) 두 벡터 사이의 각 구하기

벡터의 내적(inner product, or scalar product)을 이용하여 두 벡터 사이의 각을 구할 수 있다.

즉,

(3) 위치 벡터



(4) 지표면의 두 점 사이의 거리
지구의 반지름이 일정하고, 지표상의 각 위치의 고도차가 없다고 가정했을 때 지표상의 두 점의 위치 벡터로부터 두 점 사이의 각을 구할 수 있다.

앞에서 두 벡터 사이의 각을 구하는 식을 이용하면 위 그림에서

로 구할 수 있다. 두 위치 벡터의 단위 벡터는

이고,

을 구할 수 있다.

A, B를 다음과 같이 놓으면,


인천 공항을 P1, 스키폴 공항을 P2라 하면,




지구가 완전한 구이고, 인천 공항과 스키폴 공항의 고도차가 없다고 가정했을 때 인천 공항과 스키폴 공항 사이의 거리를 구했다. 이 거리는 직선 거리가 아니고 지구 표면에 그은 호의 거리와 같다.
3. 인천 공항에서 스키폴 공항까지 가는 평균 속도
(1) 비행 관련 data
갈 때
- 출발: 서울 ICN, Incheon international Terminal No:2, 2025.06.08(일) 11:55(Local Time)
- 도착: 암스테르담 AMS, Schiphol airport, 2025.06.08(일) 18:55(Local Time)
- 비행시간: 14시간
(2) 이륙시 공항의 위치
인천 공항 이륙 시각: 2025.06.08 11:35(local time)
스키폴 공항 착륙 시각: 2025.06.08 18:55(local time)
비행 시간: 14시간

< 위치 >
1: 인천 공항
2: 스키폴 공항
< 때 >
' 없음: 이륙할 때
' 있음: 착륙할 때


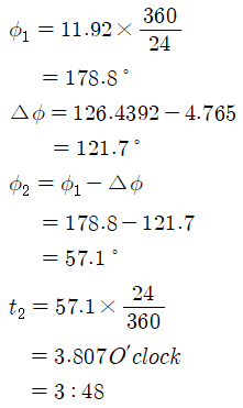
인천공항 이륙시 인천 공항은 태양 반대편 기준으로 178.8도인 곳에 있다.
인천 공항과 스키폴 공항의 경도차는 121.7도이다.
이를 이용하면 스키폴 공항의 경도는 태양 반대편 기준 57.1도인 곳에 있다.
스키폴 공항의 위치를 시각으로 나타내면 같은 날 3:48이다.
인천 공항이 있는 위치의 현지 시각은 스키폴 공항이 있는 위치의 현지 시각보다 8.113시간 앞선다.
(2) 착륙시 공항의 위치

스키폴 공항 착륙 시각이 18:55(local time)이다.
< 위치 >
1: 인천 공항
2: 스키폴 공항
< 때 >
' 없음: 이륙할 때
' 있음: 착륙할 때

스키폴 공항에 도착했을 때의 시각이 2025.06.08(일) 18:55이면 그 때 인천 공항의 시각은 2025.06.09(월) 03:02이다.
착륙했을 때 스키폴 공항의 경도는 태양 반대쪽 기준으로 283.8도인 곳에 있다.
(3) 인천 공항에서 스키폴 공항까지 가는 평균 속도: 지구 밖에서 보았을 때
지표면의 선속력

0℃ 1기압에서 소리의 속력이 331.5m/s이니 지구 밖에서 보면 자전하는 지구 표면의 속력은 소리의 속력보다 더 빠름을 알 수 있다. 다행히 지구 표면에 바짝 붙어 있는 공기 또한 지구의 자전과 함께 돌고 있으므로 우리는 바람에 휩쓸려 가지 않는 것이다. 지구의 공기가 얼마나 지구 표면에만 분포하는지는 에베레스트산 꼭대기에 공기가 희박하다는 사실과, 에베레스산의 높이가 약 8km인데, 지구의 반지름이 약 6400km인 것을 보면 알 수 있다.
지구 밖에서 본 비행기의 속도: 위도 고정

< 위치 >
1: 인천 공항
2: 스키폴 공항
< 때 >
' 없음: 이륙할 때
' 있음: 착륙할 때

한편, 위도를 유지하며 비행한 거리는 다음과 같이 나타낼 수도 있다.

지구 밖에서 보면 비행기가 나는 동안 지구가 회전한다. 11,690km는 지구 밖에서 보아 이륙했을 때의 인천 공항의 위치과 착륙했을 때의 스키폴 공항의 위치 사이의 거리 중 같은 위도상의 거리이다.

비행기는 분명 인천 공항에서 서쪽을 향해 출발했는데, 지구 밖에서 보면 서쪽을 향하면서 동쪽으로 835 km/hr의 속도로 움직였다.
지구 밖에서 본 비행기의 속도: 경도 고정

인천 공항과 스키폴 공항은 위도차는 0.2590rad, 거리는 1,651km, 속력은 117.9km/hr로 계산되었다.
비행기의 방향, 지구 밖에서 본 합성 속도

지구 밖에서 보면 비행기는 서북쪽을 향하고 있고, Vps 방향으로 밀려나는 것처럼 보인다. 경도 방향과 위도 방향을 합친 비행기의 속력은 다음과 같다. 위선(緯線; parallel of latitude)을 기준으로 한 각도도 구했다.

(4) 인천 공항에서 스키폴 공항까지 가는 평균 속도: 지구에서 보았을 때
지구에서 본 비행기의 속도: 위도 고정
지구 밖에서 비행기의 위도와 평행한 속도에서 지구의 자전 속도를 빼면 지구에서 본 비행기의 위도와 평행한 속도를 구할 수 있다.

지구에서 봤을 때 비행기의 위도와 평행한 속도는 서쪽 방향으로 835km/hr였다.
지구에서 본 비행기의 속도: 경도 고정
지구 밖에서 보든 지구에서 보든 비행기가 북쪽으로 날아가는 속도는 변함 없이 117.9km/hr이다.
비행기의 방향, 지구에서 본 합성 속도

지구에서 보면 비행기는 북서쪽을 향하고 있고 비행기의 경로도 비행기가 향하는 방향과 일치한다. 경도 방향과 위도 방향을 합친 비행기의 속력은 다음과 같다. 위선(緯線; parallel of latitude)을 기준으로 한 각도도 구했다.

지구에서 보면 서쪽을 기준으로 북쪽으로 8도 돌린 방향으로 평균속도 약 843km/hr로 날았다고 계산된다.
3. 스키폴 공항에서 인천 공항까지 오는 평균 속도
올 때
- 출발: 암스테르담 AMS, Schiphol airport, 2025.06.12(목) 21:20(Local Time)
- 도착: 서울 ICN, Incheon international Terminal No:2, 2025.06.13(금) 16:40(Local Time)
- 비행시간: 12시간 20분
갈 때를 해석해 보았으므로 올 때는 필요한 것만 추려서 해석했다.
스키폴 공항 2025.06.12 21:20 출발, 인천 공항 2025.06.13 16:40 도착, 비행시간 12시간 20분

< 위치 >
1. 스키폴 공항
2. 인천 공항
< 때 >
' 없음: 출발할 때
' 있음: 도착할 때

(1) 지구 밖에서 보았을 때


비행기가 스키폴 공항에서 출발하여 인천 공항으로 오는 동안 지구가 자전하기 때문에 인천 공항의 위치가 출발할 때보다 동쪽으로 이동하게 된다. 이런 이유로 지구 밖에서 보면 비행 거리가 32,292km로 인천 공항에서 스키폴 공항으로 갈 때의 11,690km보다 훨씬 커졌다. 그런데도 비행 시간은 12.33시간으로 인천 공항에서 스키폴 공항으로 갈 때의 14시간보다 더 짧다. 이것은 제트기류(Jet Stream)가 비행기를 밀어주어서 그런 것으로 알고 있다. 지구 밖에서 보면 비행기는 동쪽으로 약 2,600km/hr의 엄청난 속도로 나는 것을 볼 수 있다.
(2) 지구에서 보았을 때
지구에서 보았을 때는 지구 밖에서 본 위선과 평행한 속도에서 지구의 선속도를 빼서 구할 수 있다.


갈 때(인천 공항 --> 스키폴 공항)는 지구를 기준한 비행속력이 843.3km/hr였는데 돌아올 때(스키폴 공항 --> 인천 공항)는 지구를 기준한 비행속력이 958.4km/hr로 빨라졌다. 이로 인해 비행시간도 단축되었다.
궁금해서 계산해 보았는데, 일이 좀 커지고 말았다. 이런 복잡한 계산이 왜 필요한지 생각해 보았다. 원인은 비행기가 빠르다는 것! 걸어서, 또는 말을 타고 인천공항에서 스키폴 공항까지 간다면 몇시에 도착하는 것이 무의미할 것이다. 몇 달 며칠 쯤 걸리는 것으로 시간이 계산될 것이고, 며칠까지 맞추면 정확한 계산이 될 것이다. 그런데 비행기란 것이 속력이 빠르다 보니까 지구 자전에 의한 지표의 선속도와 거의 같은 차수(order)가 되었다. 그러다보니 도착 시각이 몇 시인가까지 따지게 된 것이다.
선진지 견학에 관한 글을 쓰려다가 옆길로 빠졌다. 이제 돌아가서 선진지 견학에 관한 글을 써야겠다.
'기타 활동 > 공부' 카테고리의 다른 글
| 스마트팜 빅데이터 처리: 딸기 온습도 받아오기(2025년) (2) | 2025.05.05 |
|---|---|
| 스마트농업 전문인력 양성교육 (2024.11.25-12.05) (0) | 2025.04.24 |