성동50플러스센터의 식물재배기 개조를 맡게 되었다. 온도 조절 기능이 없는 재배기라 개조하면서 온도 조절 기능을 추가하기로 했다. 일부를 DFT 방식을 적용하기로 하여 양액의 온도를 조절하기로 했다. 히터와 쿨러의 용량을 알아야 해서 대략적으로 히터의 용량을 계산해 보았다. 보온재가 없을 때는 히터의 전력이 커서 폼보드로 보온했을 때 어떠할지 다시 계산해 보았다.




정상 상태(steady-state)에서

각 열유속 사이에는 다음의 관계가 있다.

각 열유속은 다음과 같이 표현된다.


(식.4)~(식.6)을 (식.2)에 대입하면 다음을 얻을 수 있다.

한편, (식.2)에서 (식.3)과 (식.4)을 대입하면 다음을 얻을 수 있다.

(식.7)과 (식.8)은 T1, T2, T3인 미지수 3개를 갖고 식이 2개인 연립방정식이다. T1을 양액의 목표 온도로 잡으면 미지수가 2개로 줄어들어 풀 수 있다.


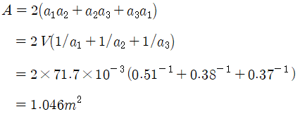
양액저장조의 부피:


양액저장조의 표면적은 부피와 가로 길이, 세로 길이, 높이로 다음과 같이 구할 수 있다.

히터가 소모하는 전력은 다음과 같다.

위 히터의 소모 전력은 정상 상태일 때의 값으로, 양액의 온도를 유지하기 위해 계속 사용하는 전력이다. 실제로는 순환하여 식은 양액이 되돌아오고, 보충할 때에도 양액의 온도가 낮으므로 정상 상태에 빨리 도달하기 위해서는 히터의 용량이 정상 상태의 용량보다 커야 한다. 히터의 정격 전력을 정상 상태 소모 전력의 3배로 잡으면,

그러므로 정격 전력이 150~200W인 히터가 적당하다.
Reference
“Incropera’s Principles of Heat and Mass Transfer”, GROBAL EDITION, THEODORE L. BERGMAN, ANDRIENNE S. LAVINE
원본: {heater 용량 계산_foam board가 있을 때_2025-12-24.hwp}
히터 용량 계산(보온재가 없을 때): 링크
히터 용량 계산(폼보드가 있을 때): 링크 (여기)
'수경재배 주제별 자료 > 환경 제어' 카테고리의 다른 글
| 히터 용량 계산(보온재가 없을 때) (0) | 2025.12.02 |
|---|---|
| LoRa 통신 학습(2025년) (0) | 2025.04.02 |
| 옥상 양액공급 자동화; 한 재배기에 적용; 설치 준비(2024.12.22) (2) | 2025.01.05 |
| 모종 급수 자동화_상추 모종 기르기(2024.11.04) (2) | 2024.11.04 |
| 모종 급수 자동화 장치_전도 방식(2024.08.29) (2) | 2024.08.29 |